一文了解Lido AAVE 市场上的 ezETH
介绍
据Renzo官方消息, ezETH 即将在 Aave 的 Lido 协议中上线。
AAVE Lido 市场
Aave 目前已推出 Lido 协议,其总锁仓价值(TVL)已超过 7 亿美元。Aave Lido 协议允许借贷 ETH、wstETH、USDS 和 ezETH。该协议具有更激进的配置,适用于 LST/ETH 循环和 ezETH/LST 循环。这使用户能够以更高的杠杆和更低的费用部署此类循环策略。
由于 ezETH 的年收益率(APR)约为 6%,而 wstETH 的为 3%,所以 ezETH/stETH 循环对于许多用户来说将是一个极具吸引力的选择。此外,Aave Lido 市场使用了 ezETH 汇率预言机,类似于 Aave 主协议和 Lido 协议中的 wstETH 部署。这意味着清算仅由于健康比率低而发生,不受 ezETH 市场价格波动的影响。
为什么要关注Lido AAVE上的ezETH, 接下来我们会逐步剖析。
ezETH 的用户收益
●ETH 质押奖励:自动复利(与 wstETH 类似)
●EIGEN 奖励:每周自动复利
●市场上最高的年收益率:约为 6.98%
●Renzo 发放的 $1600 万 REZ:作为 Season 3 Amore 的一部分,LRT 中最多的部分
虽然由于奖励的变动性和不可预测性,此机会不提供保证。然而,排除 Renzo “Amore” 奖励后,市场预计的回报率为:
●熊市情况下:23.0%($2.80 EIGEN)
●基准情况下:27.7%($3.40 EIGEN)
●牛市情况下:36.3%($4.50 EIGEN)
用户优势:为何选择ezETH?
用户可以将 ezETH 存入 Aave Lido 协议,作为抵押品以 93% LTV 借入 wstETH(需要在 AAVE dApp 中启用 e-mode)。然后可以使用借入的 wstETH 铸造更多的 ezETH。从第三方的数据我们可以看到,Renzo凭借93%的复押率在EigenLayer众多协议中呈现领先地位,相较于Puffer(73%)和EtherFi(72%),Renzo显著提升了总复押的TVL比例,从而最大化了AVS奖励的收益。
交易流程 - 自助操作(ezETH 到 wstETH 循环)
1.将 ezETH 存入 Aave Lido 协议,作为抵押品借入 wstETH。
2.使用借入的 wstETH 铸造新的 ezETH,以获得 ezETH 质押收益、EigenLayer 编程激励、Renzo “Amore” ezPoints 和 AVS 再质押奖励。
3.存入新铸造的 ezETH,重复此循环。

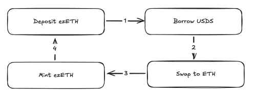
交易流程 - 自助操作(ezETH 到 USDS 循环)
1.将 ezETH 存入 Aave Lido 协议,作为抵押品借入 USDS。
2.将 USDS 换成 ETH。
3.使用新的 ETH 铸造新的 ezETH,以获得 ezETH 质押收益、EigenLayer 编程激励、Renzo “Amore” ezPoints 和 AVS 再质押奖励。
4.存入新铸造的 ezETH,重复此循环。

此外,ezETH在Aave Lido市场中的配置,使用户能够以更高的杠杆和更低的费用进行交易。这不仅增强了用户的投资回报,还提高了整个市场的流动性和稳定性。总的来说,ezETH为用户提供了一个安全、可靠且高效的投资工具,未来必将引领市场潮流。
通过上述内容,如果你对Renzo这个项目有了更多的期待,可以关注Renzo官方推特并加入他们的社群,获取关于Lido AAVE 以及ezETH的最新动态与资讯!
【星空财经版权及免责声明】本站所发布的文章,版权归原作者所有,如有侵权,请联系我们,我们将及时删除!本站所发布的文章,均出于传递行业信息为目的,不代表星空财经立场!本站所发布的文章,不构成任何投资建议,投资有风险,入市须谨慎!谨防ICO,变相ICO!

